Бамбукес | Bambookes
Поиск по сайту
Решебник
Лабораторки
Задачи
Книги
Форум
РЕПЕТИТОРЫ и ЗАКАЗ РАБОТ
Главная
»
Обучение
»
Решение задач
»
Физика - Решение задач
В категории материалов:
8965
Показано материалов:
951-1000
Список учебных материалов, доступных онлайн в данной категории:
Страницы:
«
1
2
...
18
19
20
21
22
...
179
180
»
951.
Емкость конденсатора колебательного контура 0,4 мкФ, частота собственных колебаний 50 кГц, амплитуда колебаний заряда 8 мкКл. Написать уравнения q = q(t), u = u(t), i = i(t). Найти амплитуду колебаний напряжения, амплитуду колебаний силы тока и индуктивность катушки (решение)
952.
Через какое время в долях периода на конденсаторе колебательного контура впервые будет заряд, равный половине амплитудного значения (решение)
953.
Амплитуда колебаний напряжения в контуре 100 В, частота колебаний 5 МГц. Через какое время напряжение впервые будет 71В (решение)
954.
При каком значении напряжения на конденсаторе колебательного контура в долях амплитудного значения и через какое время в долях периода энергия электрического поля впервые будет в 3 раза больше энергии магнитного поля (решение)
955.
Найти период T и частоту v колебаний в контуре, состоящем из конденсатора емкостью С = 800 пФ и катушки индуктивностью L = 2 мкГн. Во сколько раз изменится период колебаний, если в конденсатор ввести диэлектрик с диэлектрической проницаемостью e = 9 (решение)
956.
Каков диапазон частот собственных колебаний в контуре, если его индуктивность можно изменять в пределах от 0,1 до 10 мкГн, а емкость в пределах от 50 до 5000 пФ (решение)
957.
Катушку какой индуктивности надо включить в колебательный контур, чтобы при емкости конденсатора 50 пФ получить частоту свободных колебаний 10 МГц (решение)
958.
Во сколько раз изменится частота собственных колебаний в колебательном контуре, если емкость конденсатора увеличить в 25 раз, а индуктивность катушки уменьшить в 16 раз (решение)
959.
При увеличении емкости конденсатора колебательного контура на 0,08 мкФ частота колебаний уменьшилась в 3 раза. Найти первоначальную емкость конденсатора. Индуктивность катушки осталась прежней (решение)
960.
В колебательном контуре конденсатору емкостью 10 мкФ сообщили заряд 40 мкКл, после чего в контуре возникли затухающие электромагнитные колебания. Какое количество теплоты выделится к моменту, когда максимальное напряжение на конденсаторе станет меньше начального максимального напряжения в 4 раза (решение)
961.
Частоту вращения проволочной рамки в однородном магнитном поле увеличили в 3 раза. Во сколько раз изменится частота переменного тока в рамке и ЭДС индукции (решение)
962.
Рамка площадью 200 см2 вращается с частотой 8 с-1 в магнитном поле индукцией 0,4 Тл. Написать уравнения Ф = Ф(t) и е = e(t), если при t = 0 нормаль к плоскости рамки перпендикулярна линиям индукции поля. Найти амплитуду ЭДС индукции (решение)
963.
При вращении проволочной рамки в однородном магнитном поле пронизывающий рамку магнитный поток изменяется в зависимости от времени по закону Ф = 0,01 sin 10πt. Вычислив производную Ф , написать формулу зависимости ЭДС от времени e= e(t). В каком положении была рамка в начале отсчета времени? Какова частота вращения рамки? Чему равны максимальные значения магнитного потока и ЭДС (решение)
964.
Сколько витков имеет рамка площадью 500 см2, если при вращении ее с частотой 20 с 1 в однородном магнитном поле индукцией 0,1 Тл амплитудное значение ЭДС равно 63 В (решение)
965.
Какую траекторию опишет электрон, пролетая между пластинами плоского конденсатора, на которые подано постоянное напряжение; переменное напряжение достаточно высокой частоты (решение)
966.
Будет ли проходить ток через электролитическую ванну с раствором медного купороса, если ее подключить к источнику переменного напряжения? Будет ли выделяться на электродах медь (решение)
967.
По графику найти амплитудное значение переменной ЭДС, ее период и частоту. Записать формулу изменения ЭДС со временем (решение)
968.
Какое значение принимает напряжение через 10, 15 и 30 мс, если амплитуда напряжения 200 В и период 60 мс (решение)
969.
Ток В цепи меняется по гармоническому закону. Мгновенное значение силы тока для фазы п/6 равно 6 А. Определить амплитудное и действующее значения силы тока (решение)
970.
На какое напряжение надо рассчитывать изоляторы линии передачи, если действующее напряжение 430 кВ (решение)
971.
Написать уравнения зависимости напряжения и силы тока от времени для электроплитки сопротивлением 50 Ом, включенной в сеть переменного тока с частотой 50 Гц и напряжением 220 В (решение)
972.
При каких фазах в пределах одного периода мгновенное значение напряжения равно по модулю половине амплитудного (решение)
973.
Неоновая лампа начинает светить, когда напряжение на ее электродах достигает строго определенного значения. Какую часть периода будет светить лампа, если ее включить в сеть, действующее значение напряжения в которой равно этому напряжению? Считать, что напряжение, при котором лампа гаснет, равно напряжению зажигания (решение)
974.
Конденсатор переменной емкости включен в цепь последовательно с лампочкой от карманного фонаря. Схема питается от генератора звуковой частоты ЗГ. Как изменяется накал лампочки, если не меняя емкости конденсатора, увеличивать частоту переменного тока; не меняя частоту, увеличивать емкость конденсатора (решение)
975.
Каково сопротивление конденсатора емкостью 4 мкФ в цепях с частотой переменного тока 50 и 400 Гц (решение)
976.
Конденсатор включен в цепь переменного тока стандартной частоты. Напряжение в сети 220 В. Сила тока в цепи этого конденсатора 2,5 А. Какова емкость конденсатора (решение)
977.
Последовательно с лампочкой карманного фонаря к ЗГ подключена катушка. Как изменится накал лампочки, если не меняя частоту, поместить в катушку железный сердечник; уменьшить частоту (решение)
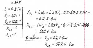
978.
Каково индуктивное сопротивление катушки индуктивностью 0,2 Гн при частоте тока 50 Гц? 400 Гц (решение)
979.
Катушка с ничтожно малым активным сопротивлением включена в цепь переменного тока с частотой 50 Гц. При напряжении 125 В сила тока равна 2,5 А. Какова индуктивность катушки (решение)
980.
Лампы питаются от ЗГ. При некоторой частоте накал ламп одинаков. Как изменится их накал, если частоту увеличить; уменьшить (решение)
981.
Цепи, изображенные на рисунке, питаются сначала от источника постоянного тока, а затем от источника переменного тока, причем действующее значение переменного напряжения равно напряжению на полюсах источника постоянного тока. Как при этом изменялись показания амперметра (решение)
982.
В цепь переменного тока с частотой 400 Гц включена катушка индуктивностью 0,1 Гн. Конденсатор какой емкости надо включить в эту цепь, чтобы осуществился резонанс (решение)
983.
В цепь включены конденсатор емкостью 2 мкФ и катушка индуктивностью 0,005 Гн. При какой частоте тока в этой цепи будет резонанс (решение)
984.
Почему турбогенераторы, вырабатывающие ток стандартной частоты 50 Гц, имеют, как правило, одну пару полюсов, а гидрогенераторы во много раз больше (решение)
985.
Допустимо ли, сняв катушку школьного трансформатора с сердечника, подавать на нее переменное напряжение, указанное на катушке (решение)
986.
Трансформатор, содержащий в первичной обмотке 840 витков, повышает напряжение с 220 до 660 В. Каков коэффициент трансформации? Сколько витков во вторичной обмотке? В какой обмотке провод имеет большую площадь поперечного сечения (решение)
987.
Чтобы узнать, сколько витков содержится в первичной и вторичной обмотках трансформатора, на вторичную катушку намотали 11 витков провода. При включении первичной обмотки в сеть напряжением 220 В вольтметр показал, что на обмотке с 11 витками напряжение равно 4,4 В, а на вторичной обмотке 12 В. Сколько витков в первичной и вторичной обмотках (решение)
988.
Понижающий трансформатор с коэффициентом трансформации, равным 10, включен в сеть напряжением 220 В. Каково напряжение на выходе трансформатора, если сопротивление вторичной обмотки 0,2 Ом, а сопротивление полезной нагрузки 2 Ом (решение)
989.
Трансформатор включен в сеть. Как изменятся показания приборов при увеличении полезной нагрузки уменьшении сопротивления R резистора (решение)
990.
Вторичная обмотка трансформатора, имеющая 99 витков, пронизывается магнитным потоком, изменяющимся со временем по закону Ф = 0,01 sin 100πt. Написать формулу зависимости ЭДС во вторичной обмотке от времени и найти действующее значение этой ЭДС (решение)
991.
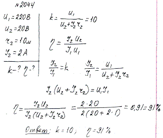
Трансформатор включен в сеть с переменным напряжением U1 = 220 В. Напряжение на зажимах вторичной обмотки U2 = 20 В, ее сопротивление r = 1 Ом, сила тока во вторичной обмотке I2 = 2 А. Найти коэффициент трансформации и КПД трансформатора, пренебрегая потерями в первичной обмотке и сердечнике (решение)
992.
992
Можно ли выбрать такую систему отсчета, в которой индукция магнитного поля электронного пучка была бы равна нулю (решение)
993.
993
Система отсчета движется со скоростью, большей скорости движения электронов в пучке. Что можно сказать о направлении линий индукции поля (решение)
994.
994
Можно ли выбрать такую систему отсчета, в которой магнитная индукция поля прямого проводника с током была бы равна нулю? Что можно сказать о направлении линий индукции, если система отсчета движется со скоростью, большей скорости упорядоченного движения электронов в проводнике (решение)
995.
995
Почему при приеме радиопередач на средних и длинных волнах с приближением грозы появляются помехи (решение)
996.
996
Каков период колебаний в открытом колебательном контуре, излучающем радиоволны с длиной волны 300 м (решение)
997.
997
Радиостанция ведет передачу на частоте 75 МГц УКВ. Найти длину волны (решение)
998.
998
В радиоприемнике один из коротковолновых диапазонов может принимать передачи, длина волны которых 24-26 м. Найти частотный диапазон (решение)
999.
999
Ручной настройкой радиоприемника мы изменяем рабочую площадь пластин воздушного конденсатора переменной емкости в приемном колебательном контуре. Как изменяется рабочая площадь пластин при переходе на прием станции, ведущей передачу на более длинных волнах (решение)
1000.
1000
Катушка приемного контура радиоприемника имеет индуктивность 1 мкГн. Какова емкость конденсатора, если идет прием станции, работающей на длине волны 1000 м (решение)
1-50
51-100
...
851-900
901-950
951-1000
1001-1050
1051-1100
...
8901-8950
8951-8965
Смотрите также:
Понедельник 15.12.2025
Политика конфиденциальности
Политика использования cookie
Объявления
Обратиться за помощью в учебе
Репетиторы, Заказ работ
Решебники
Лабораторные
Задачи
Книги
Форум
Copyright BamBookes © 2025
Политика конфиденциальности
|
Политика использования cookie