Бамбукес | Bambookes
Поиск по сайту
Решебник
Лабораторки
Задачи
Книги
Форум
РЕПЕТИТОРЫ и ЗАКАЗ РАБОТ
Главная
»
Обучение
»
Решение задач
»
Физика - Решение задач
В категории материалов:
8965
Показано материалов:
7051-7100
Список учебных материалов, доступных онлайн в данной категории:
Страницы:
«
1
2
...
140
141
142
143
144
...
179
180
»
5065.
31.6
Плоская световая волна падает нормально на диафрагму с круглым отверстием. В результате дифракции в некоторых точках оси отверстия, находящихся на расстояниях bi от его центра, наблюдаются максимумы интенсивности. Получить вид функции b=f(r, λ, n). Сделать то же самое для точек оси отверстия, в которых наблюдаются минимумы интенсивности. r - радиус отверстия; λ - длина волны; n - число зон Френеля, открываемых для данной точки оси отверстием (решение)
5064.
31.5
Плоская световая волна (λ=0,5 мкм) падает нормально на диафрагму с круглым отверстием диаметром d=1 см. На каком расстоянии от отверстия должна находиться точка наблюдения, чтобы оно открывало одну зону Френеля? две зоны Френеля? (решение)
5063.
31.4
На диафрагму с круглым отверстием диаметром d=4 мм падает нормально параллельный пучок лучей монохроматического света (λ=0,5 мкм). Точка наблюдения находится на оси отверстия на расстоянии b=1 м от него. Сколько зон Френеля укладывается в отверстии? Темное или светлое пятно получится в центре дифракционной картины, если в месте наблюдений поместить экран? (решение)
5062.
31.3
Радиус четвертой зоны Френеля для плоского волнового фронта равен 3 мм. Определить радиус шестой зоны Френеля. (решение)
5061.
31.2
Вычислить радиус пятой зоны Френеля для плоского волнового фронта (λ=0,5 мкм), если построение делается для точки наблюдения, находящейся на расстоянии b=1 м от фронта волны. (решение)
5060.
31.1
Зная формулу радиуса k-й зоны Френеля для сферической волны, вывести соответствующую формулу для плоской волны. (решение)
5059.
32.22
Угол φ поворота плоскости поляризации желтого света натрия при прохождении через трубку с раствором сахара равен 40°. Длина трубки d= 15 см. Удельное вращение сахара равно 1,17*10^2 рад*м3/(м*кг). Определить плотность раствора. (решение)
5058.
32.21
Раствор глюкозы с массовой концентрацией C1=280 кг/м3, содержащийся в стеклянной трубке, поворачивает плоскость поляризации монохроматического света, проходящего через этот раствор, на угол 32°. Определить массовую концентрацию глюкозы в другом растворе, налитом в трубку такой же длины, если он поворачивает плоскость поляризации на угол 24°. (решение)
5057.
32.20
Никотин (чистая жидкость), содержащийся в стеклянной трубке длиной d=8 см, поворачивает плоскость поляризации желтого света натрия на угол 137°. Плотность никотина 1,01*10^3 кг/м3. Определить его удельное вращение. (решение)
5056.
32.19
Пластинку кварца толщиной d1=2 мм, вырезанную перпендикулярно оптической оси, поместили между параллельными николями, в результате чего плоскость поляризации света повернулась на угол 53°. Определить толщину пластинки, при которой данный монохроматический свет не проходит через анализатор. (решение)
5055.
32.18
На николь падает пучок частично-поляризованного света. При некотором положении николя интенсивность света, прошедшего через него, стала минимальной. Когда плоскость пропускания николя повернули на угол 45°, интенсивность света возросла в k=1,5 раза. Определить степень поляризации света. (решение)
5054.
32.17
На пути частично-поляризованного света, степень поляризации P которого равна 0,6, поставили анализатор так, что интенсивность света, прошедшего через него, стала максимальной. Во сколько раз уменьшится интенсивность, если плоскость пропускания анализатора повернуть на угол 30°? (решение)
5053.
32.16
Степень поляризации P частично-поляризованного света равна 0,5. Во сколько раз отличается максимальная интенсивность света, пропускаемого через анализатор, от минимальной? (решение)
5052.
32.15
В частично-поляризованном свете амплитуда светового вектора, соответствующая максимальной интенсивности света, в n=2 раза больше амплитуды, соответствующей минимальной интенсивности. Определить степень поляризации света. (решение)
5051.
32.14
В фотометре одновременно рассматривают две половины поля зрения: в одной видна эталонная светящаяся поверхность с яркостью L1 =5 ккд/м2, в другой испытуемая поверхность, свет от которой проходит через два николя. Граница между обеими половинами поля зрения исчезает, если второй николь повернуть относительно первого на угол 45°. Найти яркость испытуемой поверхности, если в каждом из николей интенсивность падающего на него света уменьшается на 8 %. (решение)
5050.
32.13
Во сколько раз ослабляется интенсивность света, проходящего через два николя, плоскости пропускания которых образуют угол 30°, если в каждом из николей в отдельности теряется 10 % интенсивности падающего на него света? (решение)
5049.
32.12
Угол между плоскостями пропускания поляризатора и анализатора равен 45°. Во сколько раз уменьшится интенсивность света, выходящего из анализатора, если угол увеличить до 60°? (решение)
5048.
32.11
Анализатор в k=2 раза уменьшает интенсивность света, приходящего к нему от поляризатора. Определить угол между плоскостями пропускания поляризатора и анализатора. Потерями интенсивности света в анализаторе пренебречь. (решение)
5047.
32.10
Пучок естественного света падает на стеклянный шар, находящийся в воде. Найти угол между отраженным и падающим пучками в точке A. Показатель преломления n стекла принять равным 1,58. (решение)
5046.
32.9
Пучок естественного света падает на стеклянный шар (n= 1,54). Найти угол между преломленным и падающим пучками в точке A. (решение)
5045.
32.8
Параллельный пучок естественного света падает на сферическую каплю воды. Найти угол между отраженным и падающим пучками в точке A. (решение)
5044.
32.7
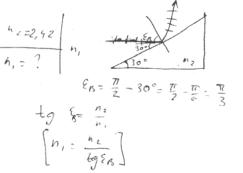
Алмазная призма находится в некоторой среде с показателем преломления n1. Пучок естественного света падает на призму так, как это показано на рис. Определить показатель преломления среды, если отраженный пучок максимально поляризован. (решение)
5043.
32.6
Пучок естественного света падает на стеклянную (n=1,6) призму. Определить двугранный угол призмы, если отраженный пучок максимально поляризован. (решение)
5042.
32.5
Предельный угол полного отражения пучка света на границе жидкости с воздухом равен 43°. Определить угол Брюстера для падения луча из воздуха на поверхность этой жидкости. (решение)
5041.
32.4
Угол Брюстера εв при падении света из воздуха на кристалл каменной соли равен 57°. Определить скорость света в этом кристалле. (решение)
5040.
32.3
Пучок естественного света, идущий в воде, отражается от грани алмаза, погруженного в воду. При каком угле падения отраженный свет полностью поляризован? (решение)
5039.
32.2
На какой угловой высоте над горизонтом должно находиться Солнце, чтобы солнечный свет, отраженный от поверхности воды, был полностью поляризован? (решение)
5038.
32.1
Пучок света, идущий в воздухе, падает на поверхность жидкости под углом 54°. Определить угол его преломления, если отраженный пучок полностью поляризован. (решение)
5037.
4
Пластинка кварца толщиной d1=1 мм, вырезанная перпендикулярно оптической оси кристалла, поворачивает плоскость поляризации монохроматического света определенной длины волны на угол 20°. Определить какова должна быть толщина кварцевой пластинки, помещенной между двумя параллельными николями, чтобы свет был полностью погашен; какой длины трубку с раствором сахара массовой концентрацией C=0,4 кг/л надо поместить между николями для получения того же эффекта? Удельное вращение раствора сахара равно 0,665 град/(м*кг*м-3). (решение)
5036.
3
Пучок частично-поляризованного света рассматривается через николь. Первоначально он установлен так, что его плоскость пропускания параллельна плоскости колебаний линейно-поляризованного света. При повороте николя на угол 60° интенсивность пропускаемого им света уменьшилась в k=2 раза. Определить отношение интенсивностей естественного и линейно-поляризованного света, составляющих данный частично-поляризованный свет, а также степень поляризации пучка. (решение)
5035.
2
Два николя N1 и N2 расположены так, что угол между их плоскостями пропускания равен 60°. Определить во сколько раз уменьшится интенсивность света при прохождении через один николь N1; через оба николя? При прохождении каждого из николей потери на отражение и поглощение света составляют 5 %. (решение)
5034.
1
Пучок естественного света падает на полированную поверхность стеклянной пластины, погруженной в жидкость. Отраженный от пластины пучок света составляет угол 97° с падающим пучком. Определить показатель преломления жидкости, если отраженный свет полностью поляризован. (решение)
5033.
33.21
Мю- и пи-мезоны имеют одинаковые импульсы p=100 МэВ/c. В каких пределах должен быть заключен показатель преломления среды, чтобы для μ-мезонов черенковское излучение наблюдалось, а для п-мезонов нет. (решение)
5032.
33.20
Импульс релятивистского электрона равен m0c. При каком минимальном показателе преломления среды уже можно наблюдать эффект Вавилова - Черенкова? (решение)
5031.
33.19
Электрон с кинетической энергией T=0,51 МэВ движется в воде. Определить угол, составляемый черенковским излучением с направлением движения электрона. (решение)
5030.
33.18
Известно, что быстрые частицы, входящие в состав космического излучения, могут вызывать эффект Вавилова - Черенкова в воздухе (n= 1,00029). Считая, что такими частицами являются электроны, определить их минимальную кинетическую энергию. (решение)
5029.
33.17
Найти наименьшую ускоряющую разность потенциалов, которую должен пройти электрон, чтобы в среде с показателем преломления n=1,50 возникло черенковское излучение. (решение)
5028.
33.16
При какой скорости v электронов (в долях скорости света) черенковское излучение происходит в среде с показателем преломления п=1,80 под углом 20° к направлению их движения? (решение)
5027.
33.15
Какой наименьшей скоростью v должен обладать электрон, чтобы в среде с показателем преломления n= 1,60 возникло черенковское излучение? (решение)
5026.
33.14
На некотором расстоянии l от наблюдателя прямолинейно со скоростью v=0,6c движется источник радиоизлучения, собственная частота которого равна 4 ГГц. В каких пределах изменяется частота сигнала, воспринимаемого наблюдателем, если наблюдение ведется в течение всего времени движения источника из положения 1 в положение 2? Углы указаны в системе отсчета, связанной с наблюдателем. (решение)
5025.
33.13
Наиболее короткая длина волны в спектре излучения водорода равна 410 нм. С какой скоростью должно удаляться от нас скопление атомов водорода, чтобы их излучение оказалось вследствие эффекта Доплера за пределами видимой части спектра, граница которой соответствует длине волны 760 нм. (решение)
5024.
33.12
Длины волн излучения релятивистских атомов, движущихся по направлению к наблюдателю, оказались в два раза меньше, чем соответствующие длины волн нерелятивистских. Определить скорость, в долях скорости света, релятивистских атомов. (решение)
5023.
33.11
Известный физик Роберт Вуд, проехав однажды на автомашине на красный свет светофора, был остановлен блюстителем порядка. Вуд, сославшись на эффект Доплера, уверял, что он ехал достаточно быстро и красный свет светофора для него изменился на зеленый. Оценить скорость, с которой должна была бы двигаться автомашина, чтобы красный сигнал светофора (650 нм) воспринимался как зеленый (550 нм). (решение)
5022.
33.10
Приемник радиолокатора регистрирует частоты биений между частотой сигнала, посылаемого передатчиком, и частотой сигнала, отраженного от движущегося объекта. Определить скорость приближающейся по направлению к локатору ракеты, если он работает на частоту 600 МГц и частота биений равна 4 кГц. (решение)
5021.
33.9
Плоское зеркало удаляется от наблюдателя со скоростью v вдоль нормали к плоскости зеркала. На него посылается пучок света длиной волны 500 нм. Определить длину волны света, отраженного от зеркала, движущегося со скоростью 0,2c; 9 км/с. (решение)
5020.
33.8
Монохроматический свет с длиной волны 600 нм падает на быстро вращающиеся в противоположных направлениях зеркала (опыт A. A. Белопольского). После N=10 отражений от них пучок света попадает в спектрограф. Определить изменение длины волны света, падающего на зеркала нормально их поверхности. Линейная скорость зеркал 0,67 км/с. Рассмотреть два случая, когда свет отражается от: движущихся навстречу одно другому; удаляющихся одно от другого. (решение)
5019.
33.7
Два космических корабля движутся вдоль одной прямой. Скорости их в некоторой инерциальной системе отсчета соответственно 12 и 8 км/с. Определить частоту сигнала электромагнитных волн, воспринимаемых вторым космическим кораблем, если антенна первого излучает электромагнитные волны частотой ν0=1 МГц. Рассмотреть случаи: космические корабли движутся навстречу друг другу; удаляются друг от друга в противоположных направлениях; первый космический корабль нагоняет второй; первый удаляется от второго, движущегося в том же направлении. (решение)
5018.
33.6
В результате эффекта Доплера происходит уширение линий γ-излучения ядер. Оценить уширение линий гамма-излучения ядер кобальта, находящихся при температуре: комнатной 290 К; ядерного взрыва 10 МК. (решение)
5017.
33.5
Определить обусловленное эффектом Доплера уширение спектральных линий излучения атомарного водорода, находящегося при температуре T=300 К. (решение)
5016.
33.4
При изучении спектра излучения некоторой туманности линия излучения водорода (656,3 нм) оказалась смещенной на 2,5 нм в область с большей длиной волны (красное смещение). Найти скорость движения туманности относительно Земли и указать, удаляется она от Земли или приближается к ней. (решение)
1-50
51-100
...
6951-7000
7001-7050
7051-7100
7101-7150
7151-7200
...
8901-8950
8951-8965
Смотрите также:
Суббота 13.12.2025
Политика конфиденциальности
Политика использования cookie
Объявления
Обратиться за помощью в учебе
Репетиторы, Заказ работ
Решебники
Лабораторные
Задачи
Книги
Форум
Copyright BamBookes © 2025
Политика конфиденциальности
|
Политика использования cookie